안녕하세요. 요즘 청약이 다시 핫해지고 있습니다. 장위자이, 둔촌주공을 시작으로 영등포자이, 마포 더 클래시 등 서울에서 분양이 연일 완판을 기록하고 있는데요. 오늘은 바로 오늘 입주자 모집공고가 등록된 휘경3구역, 휘경자이 디센시아의 입지분석부터 분양가, 청약일정에 대해 알아보도록 하겠습니다.
1. 개요
2. 분양가 및 분양물량
3. 청약일정 및 신청방법
4. 입지분석 및 세대구성
5. 모델하우스 및 평면도
1. 개요



- 사업명 : 휘경3 재정비촉진구역 주택재개발정비사업
- 대지위치 : 서울특별시 동대문구 휘경동 172번지 일대
- 대지/건축 면적 : 49,097.00㎡ / 9,195.16㎡
- 연면적 : 223,603.668㎡
- 용적률/건폐율 : 299.9.% / 18.73%
- 규모 : 지하 3층 ~ 지상 35층 (아파트 14개 동)
- 세대수 : 총 1,806세대 (일반분양 700세대)
- 주차대수 : 2,159대 (근생 13대 제외)



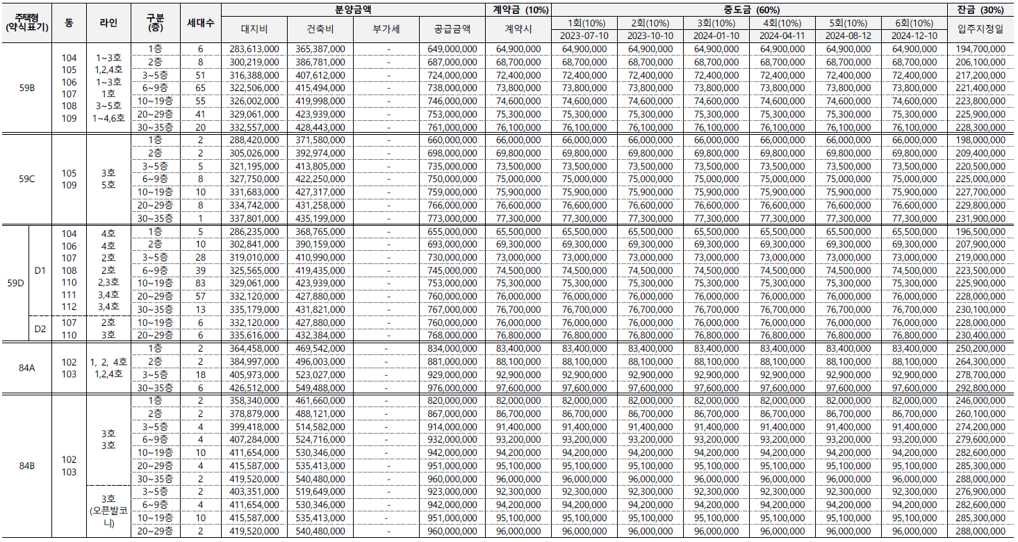
2. 분양가 및 분양물량
분양가
총 7개 타입으로 정해져 있고 면적으로만 본다면 39가 1개 타입, 59가 4개 타입, 84가 2개 타입으로 나누어집니다. 일단 각 면적별로 최저가와 최고가를 알려드리고 세부 가격을 소개하겠습니다.
- 39 타입 : 최저가 355,000,000원 // 최고가 413,000,000원
- 59 타입 : 최저가 649,000,000원 // 최고가 777,000,000원
- 84 타입 : 최저가 820,000,000원 // 최고가 976,000,000원
참고로 얼마 전 분양완료된 장위자이 레디언트를 살펴보면 84 타입 최저가가 9억이 넘었던 것으로 알고 있는데요. 휘경자이의 경우 84타입 최저가가 8.2억 원으로 약 8천만 원 정도 저렴한 것으로 보입니다. 전체적으로 분양가가 저렴해 보입니다.
분양물량
분양물량은 총 700세대입니다. 1800세대 규모의 아파트에서 700세대가 나온 것은 평균적인 것 같은데요. 요즘 둔촌주공과 장위자이에서 대규모 공급이 이뤄지다 보니 조금 더 세대수가 많았다면 어땠을까 하는 생각이 드네요.
| 구분 | 주택형 | 총 공급수 | 특별공급 | 일반공급 | ||||
| 기관추천 | 다자녀 | 신혼부부 | 노부모부양 | 생애최초 | ||||
| 01 | 39 | 19 | 2 | - | 4 | 1 | 2 | 10 |
| 02 | 59A | 78 | 8 | 8 | 16 | 2 | 8 | 36 |
| 03 | 59B | 246 | 24 | 24 | 50 | 7 | 24 | 117 |
| 04 | 59C | 36 | 4 | 4 | 7 | 1 | 4 | 16 |
| 05 | 59D | 247 | 24 | 24 | 49 | 8 | 24 | 118 |
| 06 | 84A | 28 | 4 | 4 | 5 | 1 | 3 | 12 |
| 07 | 84B | 46 | 6 | 6 | 9 | 1 | 5 | 20 |
| 계 | 700 | 70 | 70 | 140 | 21 | 70 | 329 | |
- 분양가 및 분양물량 총괄표


3. 청약일정 및 신청방법
청약일정
오늘 3월 24일 입주자모집공고가 났기 때문에 모집공고일 기준은 바로 오늘이 됩니다. 이후 4월 3일 ~4월 5일까지 특별공급~2순위까지 청약신청을 받고 일주일 후인 4월 11일 당첨자 발표를 하게 됩니다. 4월 13일~18일까지는 당첨자 서류접수기간을 가지고 당첨되신 분들에 한해 정당계약은 23~25일 사흘간 집행됩니다. 약 20일 안에 동대문구 이문 휘경 대단지 아파트의 주인이 가려집니다.

청약신청을 하신 분께서는 아래 입주자 모집공고를 꼭 확인해 주시기 바랍니다.
신청방법
입주자 모집공고문을 확인 후 청약신청을 마음먹으셨다면 인터넷 청약 신청은 먼저 공인인증서(공인인증서, 금융인증서, 네이버 인증서, KB모바일인증서)를 준비하시고 한국부동산원 청약홈 사이트에 접속하시면 됩니다. 로그인하신 후 휘경자이 디센시아를 검색하셔서 아래 순서대로 청약신청을 하시면 됩니다.
한국부동산원 주택청약
한국부동산원 주택청약 청약Home 입니다.
www.applyhome.co.kr:443

4. 입지분석 및 세대구성
입지분석
전농, 답십리 뉴타운과 장위뉴타운에 중간에 위치하고 있는 휘경, 이문 뉴타운입니다. 위아래로 대규모 단지가 개발되고 있습니다. 아래로는 서울 동북부 철도 중심지라고 할 수 있는 청량리역이 위치해 있고 위로는 자동차 전용도로를 타고 지방으로 갈 수 있는 북부간선도로가 위치해 있습니다.
다만 이문휘경 뉴타운에서 청량리역으로 가는 도로가 왕복 4차로이기 때문에 많은 세대가 한 번에 입주할 경우 교통혼란이 예상되는 점을 주의하셔야 할 것 같습니다.

교통으로만 본다면 호재입니다. 아래는 청량리역 위로는 북부간선도로 지하철 1호선과 위에 돌곶이 역까지 다만 1호선과 경의중앙선이 지상철이라 소음과 진동이 발생한다는 단점은 감안하셔야 합니다. 이 지역에 대학교가 많은 것은 사실이지만 초, 중, 고등학교의 학업성취도가 현재 그렇게 좋은 지역은 아니라는 것도 감안하세요. 다만 이렇게 뉴타운이 들어올 경우 점점 좋아지는 게 눈이 보이니 앞으로 좋아질 것을 생각하시면 좋겠습니다.

위에서 얘기한 청량리역에 롯대백화점을 비롯한 마트가 들어오고 뉴타운 아래 회기역 인근에 삼육서울병원 등 의료시설이 있어 실 거주하는 분들께 참 편리한 지역인 것 같습니다.

아파트 단지에서 우측으로 휘경sk뷰 아파트가 있는데요. 여기만 지나면 바로 중랑천과 연결됩니다. 약 500m에 육교만 건너면 중랑천 제4체육공원과 연결되니 저녁에 산책하기 정말 좋을 것 같네요.

세대구성
위에서 휘경자이 디센시아의 위치는 어디인지 감을 잡으셨죠? 그럼 단지와 세대는 어떻게 구성되어 있는지 확인해 보겠습니다. 땅 모양은 세모 모양인데요. 좌측 꼭짓점을 기준으로 위로는 1호선이 아래로는 경의중앙선이 지나가는 모양입니다.
84 타입은 좌측의 102동과 103동에만 있으니 참고하세요. 그래도 단지 내 공원과 산책로 놀이터 등 조경이 우수해 보입니다.

아래는 동, 호수 배치도입니다. 하얀색은 조합원 물량으로 이번 청약에서 신청이 불가하고요. 색이 있는 곳 중에 신청을 하실 수 있습니다. 물론 먼저 청약 타입에 당첨이 돼서야 정당계약 시 추첨으로 동 호수를 정합니다. 그래도 자신이 신청한 타입에 어느 정도 확률이 있을지 계산해 보는 것도 나쁘지 않을 것 같습니다.



특히 단지 내 커뮤니티 시설이 모두 108동 지하에 위치해 있기 때문에 메인동은 무조건 108동이 될 것으로 보이고요. 108동에 고층을 원하신다면 59 D1타입으로 신청하셔야겠네요.

5. 모델하우스 및 평면도
아래는 모델하우스입니다. 평면도를 보시기 전에 모델하우스를 보시면 더욱 이해가 빠르실 것 같습니다.
휘경자이 디센시아 e모델하우스
sws360.com
평면도
39 타입부터 84까지 순서대로 올려놓을 테니 확인하시면 많은 도움 되실 것 같습니다.








오늘은 최근 분양시장에서 뜨거운 관심을 받고 있는 이문휘경뉴타운의 중심에 있는 휘경3구역 휘경자이 디센시아에 대해 알아보았습니다. 이 포스팅이 청약을 준비중인 예비 집 주인분들께 도움이 되었으면 좋겠습니다. 꼼꼼히 준비하셔서 꼭 당첨되시길 바랍니다.
